Collaborative research
/ 全球首发|苏州易缆微硅光异质集成薄膜铌酸锂单波400Gbps差分调制芯片参展CIOE2025

全球首发|苏州易缆微硅光异质集成薄膜铌酸锂单波400Gbps差分调制芯片参展CIOE2025

光通信产业前瞻


原文章来自CIOE中国光博会:https://mp.weixin.qq.com/s/0u_UuDM2f9VJN9Xv4qq33Q


苏州易缆微半导体技术有限公司于9月10日在CIOE中国光电博览会上现场展示全球第一款基于独创的硅光异质集成薄膜铌酸锂平台适用于3.2T数据中心光模块的单波400Gbps差分调制芯片。

 

此芯片采用完全自主知识产权8英寸晶圆级硅光异质集成薄膜铌酸锂工艺制备,利用成熟的CMOS硅光工艺和Die-to-Wafer键合工艺,实现了硅光优异的无源器件性能和薄膜铌酸锂优异的电光特性优势互补,使该芯片具备低插损、低驱压、超高带宽的优势,实测3dB电光带宽>110GHz,Vπ~3V。同时,芯片采用差分驱动设计,与现有的硅光driver相兼容。芯片制备所采用的工艺具有高可靠性以及量产能力,将最大限度地缩短设计迭代和交付时间,满足客户低成本、高良率的量产要求。同时在易缆微异质集成工艺平台上,芯片可以从单波200G/1.6T平滑演进至单波400G/3.2T,有助于光模块客户实现快速迭代。

 


苏州易缆微硅光异质集成薄膜铌酸锂单波400Gbps差分调制芯片

 

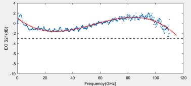
单波400G差分调制芯片带宽测试结果表明其3dB EO 带宽大于110GHz,而且还有大幅提高带宽的能力。

 

带宽测试结果

 

“本次现场展示的最新硅光异质集成薄膜铌酸锂单波400Gbps差分调制芯片,再次证明了利用异质集成技术可以充分发挥不同材料体系各自优势是硅光平台演进发展的最优解,可助力光芯片及各类光学器件实现传统硅光技术无法媲美的指标。我们通过工艺迭代,明年会推出超低插损的8通道芯片共享一颗CW光源,这将大大降低光模块客户的设计复杂度同时进一步降低成本成本。”苏州易缆微董事长陈伟博士指出,“苏州易缆微的产品方案在未来重点面向单波400G以及更高速率、更高密度光电共封装引擎等应用场景,助力实现可插拔光模块产品向光学共封装CPO引擎产品的升级,可以全面支撑1.6T/3.2T下一代人工智能光互联的基础设施建设。”

 

同时,苏州易缆微于本届CIOE展出的产品矩阵覆盖各类硅光异质集成芯片、硅光异质集成晶圆、及各类光无源产品等:

l 1.6T异质集成差分调制芯片:O波段差分单波200G芯片,3dB电光带宽>70GHz; 差分阻抗80欧;半波电压3V;Heater π相移功耗30mW;

l CWDM4 Demux:产品中心波长:1271nm,1291nm,1311nm,1331nm;中心波长精度:±2.5nm,1dB带宽 >12nm,片上损耗 <1.5dB,隔离度 ≥20dB; 

l OCS 8x8:产品插损约3dB,串扰<20dB,开关时间<10ns,端口数量可以支持到64x64端口或更高;OCS光路交换产品基于集成光学平台,具有稳定性高,开关速度快,成本低等优点;

l 80GHz光强度调制芯片:3dB电光带宽>80GHz,半波电压≤3.2V;

l 各类高密度FA光学组件,支持客户化定制;

展会仍在继续,诚邀各位业界同仁、合作伙伴莅临CIOE信息通信展11号馆11C26苏州易缆微展位,交流前沿技术,共同逐光未来!


alt

苏州易缆微半导体技术有限公司

联系我们